2021
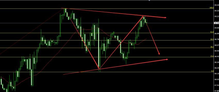
06-04 18:276月第一周的交易又将结束了,这周你收获了什么,交易技能有没有得到提升,可以自我反思总结一下。这周美油整体走势震荡上行,最高触及69.35美元。EIA原油库存数据录得大幅减少500多万桶,对于油价是有一定支撑的,但是数据出来后,原油走势和数据利多是相反的。说明油价要再次走高还需要时间。此外,美伊谈判尚未取得实质性进展,暂时不会对油价产生强烈冲击。原油需要重点关注69.30~69.40区域的阻力,如果持续受阻那么回落不可避免,突破这一区域才会去冲击70.00甚至于去至更高的位置。,因此晚间先以看空为主。美盘短线原油策略请关注图灵WX群的公告。(图灵波浪理论)图片是原油半小时图

指导仅供参考,不作为交易依据
[免责声明]
本文仅代表作者本人观点,与汇金网无关。汇金网对文中陈述、观点判断保持中立,不对所包含内容的准确性、可靠性或完整性提供任何明示或暗示的保证,且不构成任何投资建议,请读者仅作参考,并自行承担全部风险与责任。